Abstract
Factor (F)IX-FIAV, a FIX variant with four amino acid substitutions that functions independently of the cofactor VIIIa, has been previously shown to ameliorate the hemophilia A (HA) phenotype in vivo [Quade-Lyssy et al. J. Thromb. Haemost. 2014]. Here we evaluated the efficacy of purified recombinant FIX-FIAV in severe, moderate, and mild hemophilia A patient plasma employing thrombin generation and intrinsic clotting activity (aPTT) analyses. The combination of FIX-FIAV with current hemophilia A therapeutics was used for preclinical safety assessment.
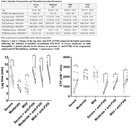
Plasma was obtained from 21 HA patients, seven per HA phenotype, with a median age of 38 years [interquartile range (IQR) 27.5 - 49.5]. The plasma levels of FIX, FX, prothrombin, and antithrombin of all included patients were within the normal range. To determine the effect of FIX-FIAV on FXIa-triggered thrombin generation parameters (lag time, endogenous thrombin potential (ETP)), plasma was spiked with 100% (5 µg/ml in severe/mild) or 125% (6 µg/ml in moderate) FIX-FIAV prior to analysis. FIX-FIAV significantly shortened the lag time in all patient plasmas irrespective of disease severity (Figure 1) with an overall median of 4.4 min [IQR 3.6 - 6.9] in the absence of FIX-FIAV vs. 3.1 min [IQR 2.4 - 4.5] in the presence of FIX-FIAV (p<0.0001, Table 1). Similar observations were obtained following aPTT analyses: median clotting time of 115.5 sec [IQR 105 - 173.9] without vs. 97.7 sec [IQR 91.8 - 136.2] with 100% FIX-FIAV (p = 0.0039). Conversion of the thrombin generation lag time to FVIII-like activity using a FVIII calibration for each individual patient plasma revealed that FIX-FIAV mitigated the HA phenotype from severe to moderate, from moderate to mild, and from mild to normal (Table 1).
Interestingly, following the addition of FIX-FIAV a minor but significant decrease in ETP was observed for non-severe HA patient plasma (p = 0.016 for mild and p = 0.016 for moderate), while FIX-FIAV increased the median ETP in severe HA plasma by 2.1-fold (p = 0.22) (Figure 2, Table 1). This may result from competition between the added FIX-FIAV and endogenous FIX for interaction with residual functional FVIII. In line with this, experiments performed in the presence of an anti-FVIII antibody that inhibits FVIII activity significantly enhanced the ETP in all patient plasmas (p = 0.016 for each individual severity, Figure 2) in addition to shortening the lag time (Figure 1).
Next, we evaluated the combination of FIX-FIAV with bypassing agents (1 IU/mL aPCC or 1.5 mg/mL rFVIIa) in nine patient plasmas, three per phenotype. Addition of aPCC or rFVIIa to FIX-FIAV-spiked plasma did not significantly affect aPTT clotting times nor ETP values in comparison to adding aPCC or rFVIIa only, respectively. The median lag time shortened significantly, albeit modestly, for the combination of FIX-FIAV with aPCC in comparison to conditions with aPCC only: 5.2 min [IQR 3.0 - 6.4] vs. 5.5 min [IQR 3.6 - 7.7], p = 0.0078, respectively. Similar findings were obtained when combining FIX-FIAV with rFVIIa relative to rFVIIa only: median lag time 4.9 min [IQR 2.2 - 6.1] vs. 5.3 min [IQR 3.3 - 8.8], p = 0.0039. Hence, no substantial synergistic effect was observed when combining FIX-FIAV with bypassing agents aPCC or rFVIIa for HA. In contrast, combining approximate hemostatic levels (55 µg/ml) of emicizumab, a bispecific antibody mimicking FVIIIa, with FIX-FIAV resulted in a ~1.1-fold reduced lag time and ETP relative to emicizumab alone (p = 0.016 and p = 0.004 respectively). This is suggestive of a minor synergistic procoagulant effect, which is consistent with the FIX(a)-FX(a) bridging capacity of emicizumab.
In conclusion, FIX-FIAV could serve as a potential treatment for hemophilia A as it mitigates the hemophilia A phenotype in patient plasma, also in the presence of an inhibitory anti-FVIII antibody. While further safety assessment is warranted, no severe procoagulant effects were observed for the combination of FIX-FIAV with conventional hemophilia A therapeutics.
Romano: Swedish Orphan Biovitrum B.V.: Other: Travel grant and aforementioned Research Funding in the form of the Young Investigator's Award 2020, Research Funding. Liu: uniQure Biopharma B.V.: Current Employment. McCreary: uniQure Biopharma B.V.: Ended employment in the past 24 months. Leebeek: Roche: Other: DSMB member of a study sponsored by Roche; uniQure Biopharma B.V.: Consultancy, Research Funding; Swedish Orphan Biovitrum B.V.: Other: Travel support, Research Funding; Biomarin: Consultancy; CSL Behring: Consultancy, Research Funding; Shire/Takeda: Consultancy, Research Funding. Bos: VarmX B.V.: Research Funding; uniQure Biopharma B.V.: Research Funding.
